The Scientist (Le Scientifique) est un documentaire complet sponsorisé et co-produit par la fondation CANNA, qui retrace une vaste expérience scientifique sur les premières études réalisées sur le cannabis. Son contenu est basé sur les expériences et découvertes exposées par le Docteur Raphael Mechoulam, un professeur renommé de nationalité israélienne qui a obtenu plusieurs récompenses à travers le monde pour ses études et investigations autour du THC et du CBD. En 2006, ce chercheur recut le prix Dr. Honoris Causa grâce aux avancées et découvertes obtenues après des années d’expérience vécus au travers de nombreux voyages, à la recherche de réponses sur cette plante merveilleuse bien qu’interdite dans beaucoup de pays.

Les premières années de la vie du docteur sont contés, de sa naissance en Bulgarie jusqu’à son déménagement dans la ville israélienne de Jérusalem en 1966, où il commença son histoire d’amour avec le Cannabis Sativa. Dr Mechoulam centra ses études sur les composants chimiques que pouvait offrir cette plante, qui étaient encore totalement énigmatiques à cause de sa mauvaise réputation. L’objectif du chercheur était d’isoler le composant actif du cannabis dans sa forme pure, afin de l’étudier à posteriori.
Durant les premières années d’investigation, notre scientifique compta sur l’aide de son collègue et ami Yehiel Gaoni, avec lequel ils déchiffrèrent et détaillèrent tous les composants présents dans notre plante préférée. Jusqu’au milieu des années 60, pour découvrir la composition d’un corps, il fallait réaliser plusieurs réactions afin de séparer et d’isoler correctement chaque élément. Rapidement, les deux comparses s’intéressèrent au Haschich, qui avait gagné en célébrité durant les années 70 et 80, pour sa puissance et valeur médicinale. Ils parvinrent à obtenir une bonne quantité de cette matière, 5 kg pour être précis, uniquement destinée à l’étude et l’investigation. Plus tard, les chercheurs se rendirent compte que le haschich contenait une dose très basse de cannabidiol (CBD), arrivant aux alentours de 8% au maximum, ce qui rendait difficile sa production en quantité. En tout, ils finirent par identifier plus de 10 composants présents dans le cannabis, dont le principe actif qui rendait cette plante méconnue si spéciale. Cet ingrédient a ensuite été testé sur des singes, et les résultats furent spectaculaires puisque la majorité des essais ont été concluants, il a donc été démontré positivement que le cannabis stimulait la relaxation mentale et physique. Le docteur Raphael Mechoulam découvrit donc cette molécule communément appelée THC, ou Tetrahydrocannabinol, responsable des effets connus du haschich et de la plante de cannabis.
Par la suite, les essais débutèrent avec les hommes, sous la tutelle du même professeur, qui demanda à sa femme de réaliser une tarte, à laquelle 20 mg d’extrait pur de THC ont été ajoutés, pour attester des effets sur l’humain. L’expérience fut couronnée de succès une fois de plus pour la majorité des individus, avec des épisodes de rires incontrôlés, des conversations profondes, de l’euphorie, et même de l’anxiété.
Dans la suite du documentaire, le réalisateur conte les multiples applications du cannabis durant l’Antiquité. Les assyriens l’utilisant comme médecine, pour stimuler l’esprit et pour les affaires religieuses. Les égyptiens se servaient du cannabis pour la création de remède, mais aussi comme relaxant médicinal. Cependant, il n’existe pas de preuves que les grecs ou les romains utilisaient cette plante, il est donc pensé qu’ils n’avaient pas connaissance de la multitude d’applications offertes par le cannabis. En Inde, le cannabis était très lié aux rites et cérémonies, pensés la plupart du temps pour se libérer des peurs et préoccupations.

On apprend également que le cannabis offre de grandes applications face aux attaques d’épilepsie, lesquelles sont utilisées depuis des siècles déjà. Naturellement, le docteur Machoulam commença à administrer du cannabidiol pur aux patients épileptiques, avec des doses allant jusqu’à 200 mg. À la grande surprise de certains, le CBD aida grandement les patients, réduisant notablement les attaques, ce qui valida les efforts réalisés par le professeur et toute son équipe d’investigations. Ils réalisèrent des études et publièrent finalement les résultats, tout en gardant l’anonymat malheureusement. Depuis 34 ans, cette étude demeure la seule à avoir été réalisée sur les composants et applications bénéfiques du cannabis.
Aux États-Unis, le docteur Howlett trouva dans le cerveau un composant qui agit comme récepteur spécifique au THC, le récepteur CB1. Cette découverte importante indique que le THC influe directement sur ce récepteur, ce qui a soulevé beaucoup de questions, comme par exemple : « Comment est-il possible que notre corps contienne les récepteurs d’une substance qui se fume ? ». À partir de ce moment, la course à la découverte de nouveaux composants débuta et beaucoup d’entreprises se prirent au jeu.
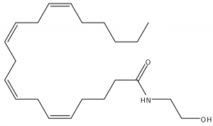
La découverte du composant récepteur devait avoir un nom, l’équipe du Docteur Machoulam mit dont la main à la pâte pour finalement trouver, grâce à l’aide de son collègue, le nom de « Anandamide ».

Le cannabis est donc une plante millénaire qui accompagne l’être humain depuis des temps immémoriaux, que ce soit comme remède ou comme substance récréative et spirituelle. Grâce à ce documentaire complet et très bien réalisé, nous en savons désormais un peu plus sur les raisons de la prohibition et le cruel manque d’intérêt de certains organismes gouvernementaux, qui n’ont pas poussé les études impactantes sur le sujet, comme celle du Docteur Raphael Machoulam, à avoir le même poids qu’elles auraient dû dans la société actuelle.


